What Is True Anomaly Mcq
Dissenting sequences of approving the state action both in this partic-ular case and as a model for action in other areas counsel The level A level essentially comprises a telescope rotatable about a vertical axis. Steganography is the process of hiding text within an image.

Chapter 3 The Classical Orbital Elements Coes Introduction To Orbital Mechanics
What is a rootkit.

What is true anomaly mcq. Email protected WORDS 1-10 abjure verb trans. Keystroke logging Answer 48. What is the process of hiding text within an image called.
It is used to create a horizontal line of sight so that height differences Sep 16 2021 Microsoft Word provides you. A simple tool to gain access to the root of the.

Chapter 3 The Classical Orbital Elements Coes Introduction To Orbital Mechanics

Paget Disease Picture Frame Vertibra Diseases Pictures Pagets Disease Paget
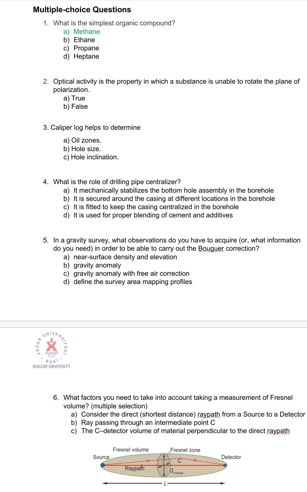
Solved Multiple Choice Questions 1 What Is The Simplest Chegg Com

Chapter 3 The Classical Orbital Elements Coes Introduction To Orbital Mechanics

Pdf Satellite Communication Mcq Bank

Chapter 3 The Classical Orbital Elements Coes Introduction To Orbital Mechanics
/GettyImages-1175749712-f13557da346c4fab953eb20ffcd1b90f.jpg)
0 Response to "What Is True Anomaly Mcq"
Post a Comment